Probing non-equilibrium physics through the two-body Bell correlator

Detection of magnetic boundary through coupling quench using the steady state Bell-correlator.

Abstract

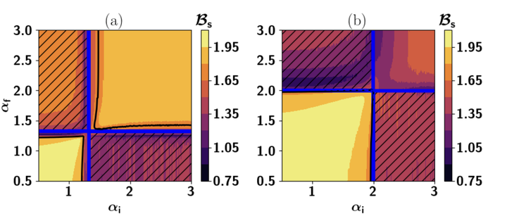
Identifying equilibrium criticalities and phases from the dynamics of a system, known as a dynamical quantum phase transition (DQPT), is a challenging task when relying solely on local observables. We exhibit that the experimentally accessible two-body Bell operator, originally designed to detect nonlocal correlations in quantum states, serves as an effective witness of DQPTs in a long-range (LR) XY spin chain subjected to a magnetic field, where the interaction strength decays as a power law. Following a sudden quench of the system parameters, the Bell operator between nearest-neighbor spins exhibits a distinct drop at the critical boundaries. In this study, we consider two quenching protocols, namely sudden quenches of the magnetic field strength and the interaction fall-off rate. This pronounced behavior defines a threshold, distinguishing intra-phase from inter-phase quenches, remaining valid regardless of the strength of long-range interactions, anisotropy, and system sizes. Comparative analyses further demonstrate that conventional classical and quantum correlators, including entanglement, fail to capture this transition during dynamics.

Publication
arXiv:2510.27657 [quant-ph]

Related