Slow decay rate of correlations induced by long-range extended Dzyaloshinskii-Moriya interactions

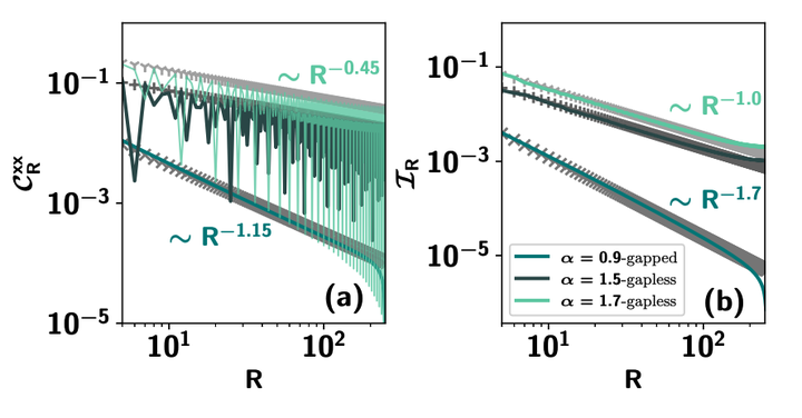
Classical correlation and mutual information of the bipartite state obtained from the ground state vs the distance R between two arbitrary sites, i and i + R.

Abstract

We examine the impact of long-range Dzyaloshinskii-Moriya (DM) interaction in the extended XY model on the phase diagram as well as the static and dynamical properties of quantum and classical correlation functions. It is known that in the nearest-neighbor XY model with DM interaction, the transition from the gapless chiral phase to a gapped one occurs when the strengths of the DM interaction and anisotropy coincide. We exhibit that the critical line gets modified with the range of interactions which decay according to power-law. Specifically, instead of being gapless in the presence of a strong DM interaction, a gapped region emerges which grows with the increase of the moderate fall-off rate (quasi-long range regime) in the presence of a transverse magnetic field. The gapless chiral phase can also be separated from a gapped one by the decay patterns of quantum mutual information and classical correlation with distant sites of the ground state which are independent of the fall-off rate in the gapless zone. We observe that the corresponding critical lines that depend on the fall-off rate can also be determined from the effective central charge involved in the scaling of entanglement entropy. We illustrate that in a non-equilibrium setting, the relaxation dynamics of classical correlation, the decay rate of total correlation, and the growth rate of entanglement entropy can be employed to uncover whether the evolving Hamiltonian and the Hamiltonian corresponding to the initial state are gapped or gapless.

Publication
Physical Review A 111, 052402 (2025)

Related