Genuine multipartite entanglement as a probe of many-body localization in disordered spin chains with Dzyaloshinskii-Moriya interactions

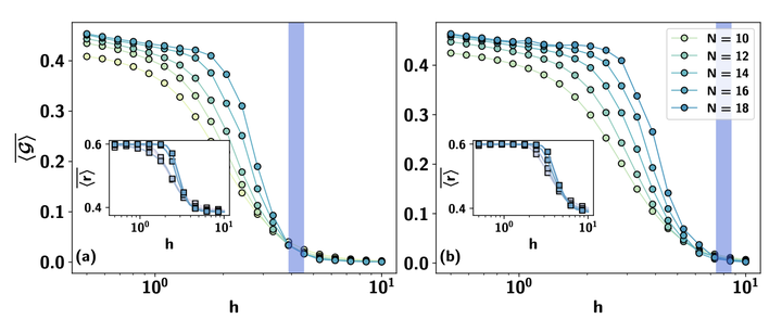
The plots exhibit a transition from the ergodic phase to the many-body localized one in the presence of Dzyaloshinskii-Moriya (DM) interaction, similar to the transition identified using the gap ratio ⟨r⟩ (shown in the insets of both figures).

Abstract

We demonstrate that the quenched average genuine multipartite entanglement (GME) can approach its maximum value in the ergodic phase of a disordered quantum spin model. In contrast, GME vanishes in the many-body localized (MBL) phase, both in equilibrium and in the long-time dynamical steady state, indicating a lack of useful entanglement in the localized regime. To establish this, we analyze the disordered Heisenberg spin chain subjected to a random magnetic field and incorporating two- and three-body Dzyaloshinskii-Moriya (DM) interactions. We exhibit that the behavior of GME, in both static eigenstates and in dynamically evolved states from an initial Neel configuration, serves as a reliable indicator of the critical disorder strength required for the ergodic-to-MBL transition. The identified transition point aligns well with standard indicators such as the gap ratio and correlation length. Moreover, we find that the presence of DM interactions, particularly the three-body one, significantly stabilizes the thermal phase and delays the onset of localization. This shift in the transition point is consistently reflected in both static and dynamical analyses, reinforcing GME as a robust probe for MBL transitions.

Publication
arXiv:2507.22795 [quant-ph]

Related